To find the Laplace Transform for f(t) = sin^2t, we follow these steps:
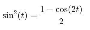
1. Trigonometric Identity
The Laplace Transform is easier to calculate if we reduce the power of the sine function using the double angle identity:
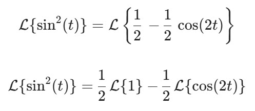
2. Applying the Transform
Using the linearity property of the Laplace Transform:
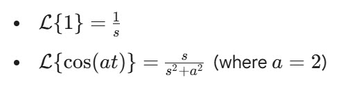
3. Standard Formulas
Using the standard Laplace Transform table:
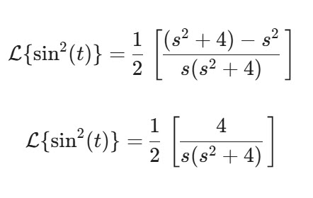
Substitute these into the equation:
4. Simplification
Combine the fractions:
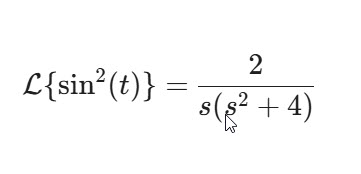
Final Result:
![]()











رد مع اقتباس
